Содержание
Введение
В предыдущей статье мы рассмотрели расчет КИХ
фильтра с линейной ФЧХ методом частотной выборки на основе обратного
дискретного преобразования Фурье от дискретизированного в частотной
области комплексного коэффициента передачи
 .
При этом мы показали, что использование метода частотной выборки
приводит к финитной импульсной характеристике фильтра
 ,
 –
количество коэффициентов КИХ фильтра, что
в свою очередь сопровождается эффектом Гиббса. Эффект Гиббса
заключается в том, что АЧХ полученного фильтра полностью совпадает с
требуемой АЧХ в узлах частотной выборки, т.е. в узлах
дискретизации комплексного коэффициента передачи
 ,
но отличается от требуемой АЧХ между узлами частотной выборки, как
это показано на рисунке 1 для КИХ фильтра при
 .

Рисунок 1: Эффект Гиббса при расчете КИХ фильтра
Видно, что АЧХ идеального ФНЧ, комплексный
коэффициент передачи которого был дискретизирован, перестает быть
идеальным и приобретает неравномерность в полосе пропускания и
боковые лепестки в полосе заграждения ввиду ограничения количества
коэффициентов фильтра.
Примечательным свойством эффекта Гиббса является
тот факт, что уровень приобретаемой неравномерности в полосе
пропускания и уровень боковых лепестков в полосе заграждения не
уменьшается с ростом количества коэффициентов фильтра, что наглядно
показано на рисунке 2 для АЧХ

ФНЧ при различном количестве коэффициентов фильтра

от 16 до 128.
Рисунок 2: Уровень неравномерности в полосе пропускания и боковых лепестков в полосе заграждения при увеличении количества коэффициентов КИХ фильтра
Из рисунка 2 можно заметить, что с увеличением
количества коэффициентов КИХ фильтра

возрастает количество боковых лепестков, но максимальный уровень
первого бокового лепестка практически не уменьшается, как не
уменьшается и максимальная неравномерность АЧХ в полосе
пропускания. Также можно заметить, что с ростом

неравномерность в полосе пропускания возрастает ближе к частоте
среза фильтра, а скорость спада боковых лепестков растет.
Напомним, что количество коэффициентов КИХ
фильтра на единицу больше порядка фильтра
 .
Порядок фильтра равен количеству линий задержки, необходимое для
реализации данного фильтра.
В данной статье мы рассмотрим расчет КИХ
фильтров с линейной ФЧХ методом частотной выборки с применением
оконного сглаживания (в англоязычной литературе window
method), который позволяет регулировать уровень боковых
лепестков АЧХ в полосе заграждения, и неравномерность АЧХ в полосе
пропускания.
Уменьшение эффекта Гиббса при использовании оконного сглаживания
Простота и высокая вычислительная эффективность
метода частотной выборки делает его очень привлекательным для
практического использования, однако на выходе получается фильтр с
очень высоким уровнем боковых лепестков в полосе заграждения и
неравномерностью в полосе пропускания, что привело к необходимости
доработки метода частотной выборки для практического применения.
Отметим, что такие боковые лепестки возникают
ввиду резкого перехода от частоты пропускания к частоте подавления и
возникают из-за интерполяции дискретизированного комплексного
коэффициента передачи фильтра. Для того, чтобы уменьшить уровень
боковых лепестков, необходимо сгладить переход между полосой
пропускания и заграждения как это показано на рисунке 3.

Рисунок 3: Сглаживание перехода между полосой пропускания и заграждения
Исходный комплексный коэффициент передачи
идеального фильтра

(красная АЧХ) сворачивается с комплексным
коэффициентом передачи

(зеленая АЧХ) и получается сглаженная АЧХ (синяя), у которой нет
резкого перехода. Мы искусственно вводим еще один комплексный
коэффициент передачи
 ,
который можем менять, и у нас появляется возможность регулировки
уровня боковых лепестков нашего фильтра, рассчитанного на основе
частотной выборки. Очевидно, что идеальная АЧХ при сглаживании
искажается и появляется переходная полоса между полосой пропускания
и заграждения, но это искажение мы можем регулировать при помощи
 ,
в отличии от искажений возникающих в результате эффекта Гиббса.
Функцию

можно считать спектральным окном, а свертку

называют оконным сглаживанием.
Мы уже однажды прибегали к оконному сглаживанию,
когда рассматривали спектральный анализ ограниченных во времени
сигналов. По сути в данном случае имеем дело с тем же самым анализом
ограниченного во времени сигнала, в качестве импульсной
характеристики КИХ фильтра
 ,
чей спектр представляет собой АЧХ КИХ фильтра.
Свертка комплексного коэффициента и
спектрального окна в частотной области, при переходе во временную
область, согласно свойствам преобразования Фурье, соответствует
произведению импульсной характеристики

и оконной функции
 ,
 .
При этом ранее мы рассматривали множество различных оконных функций,
позволяющих обеспечить различное подавление боковых лепестков и
различное расширение переходной полосы. Посмотреть вид различных
оконных функций можно в этом приложении.
Сделаем очень важное замечание. Все
рассмотренные ранее оконные функции являются симметричными, т.е.
|
(1) |
Это означает что импульсная характеристика
|
(2) |
также будет соответствовать фильтру с линейной
ФЧХ, поскольку свойства симметрии и антисимметрии, необходимые для
обеспечения линейной ФЧХ не нарушатся (подробнее об этом мы говорили
в этой статье).
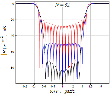
На рисунке 4 показаны АЧХ фильтра нижних частот
рассчитанного методом частотной выборки без оконного сглаживания
(красный график) и с окном Хэмминга (синий) и Блэкмана (черный).
Рисунок 4: АЧХ КИХ фильтра при использовании оконного сглаживания
Из рисунка 4 отчетливо видно, что применение
оконных функций обеспечивает снижение уровня боковых лепестков,
уменьшает неравномерность в полосе пропускания, но также приводит к
расширению переходной полосы. Важно отметить, что точкой пересечения
АЧХ при использовании оконного сглаживания и без него является точка
по уровню
 .
Практические рекомендации по выбору оконной
функции при расчете КИХ фильтров
БИХ фильтры мы рассчитывали на основе задания
требуемых характеристик в виде коридора АЧХ (смотри здесь).
Аналогично можно задать коридор АЧХ для КИХ ФНЧ как это показано на
рисунке 5.

Рисунок 5: Коридор АЧХ для расчета КИХ фильтра методом частотной выборки с оконным сглаживанием
Необходимо выбрать количество коэффициентов КИХ
фильтра для обеспечения заданной переходной полосы

и оконную функцию для обеспечения заданного подавления в полосе
заграждения
 .
Первый шаг – выбор оконной функции для
обеспечения заданного подавления в полосе заграждения. У оконной
функции есть параметр

задающий уровень боковых лепестков спектрального окна. Необходимо
выбрать оконную функцию у которой
|
(3) |
Теперь надо рассчитать требуемое количество
коэффициентов импульсной характеристики фильтра по формуле
, |
(4) |
где

– параметр оконной функции, задающий расширение переходный
полосы (приведен в таблице 2 в приложении).
Приведем пример. Пусть требуется рассчитать КИХ
ФНЧ со следующими параметрами:
 ,
 ,
 .
Шаг первый выбираем оконную функцию у которой
 .
Из таблицы 2 можно выбрать окно Хемминга с

и коэффициентом расширения
 ,
тогда
|
(5) |
На рисунке 6 показан вид импульсной характеристики
КИХ фильтра при

и сглаживающем окне Хемминга, а также его АЧХ
Рисунок 6: Импульсная характеристика и АЧХ рассчитанного фильтра
Видно, что АЧХ полученного фильтра удовлетворяет
требуемому коридору.
Выводы
В данной статье мы рассмотрели расчет цифровых
КИХ фильтром методом частотной выборки с применением оконного
сглаживания для уменьшения эффекта Гиббса и улучшения характеристик
фильтра. Приведены практические рекомендации по выбору оконной
функции и количества коэффициентов КИХ фильтра для расчета по
заданному коридору АЧХ фильтра. Многообразие оконных функций
позволяет рассчитать КИХ фильтр под любые практические задачи,
однако ученые на этом не успокоились. Кайзером было предложено
параметрическое окно, обеспечивающее квазиоптиоптимальные
характеристики фильтра, рассчитанного методом частотной выборки с
оконным сглаживанием. Кроме того был разработан метод оптимальной
Чебышевской аппроксимации комплексного коэффициента передачи КИХ
фильтра с линейной ФЧХ, который мы рассмотрим в следующих разделах.
Любые вопросы и пожелания вы можете оставить в
гостевой книге, на форуме,
или прислать по электронной почте admin@sovrednb.ru
|