Общая методика расчета аналоговых и цифровых БИХ фильтров. Основные понятия и определения

Содержание

Введение
Сегодня мы открываем цикл статей касающихся вопросов расчета цифровых рекурсивных фильтров бесконечной импульсной характеристикой (БИХ — фильтров) или как их еще называют в зарубежной литературе IIR (infinity impulse response). Цикл будет содержать несколько статей касающихся данной темы. В первой статье мы приведем общую методику расчета БИХ фильтров и сформулируем постановку задачи. И далее будем раскрывать данную тему пока не достигнем конца. Предполагается что читатель знаком с понятием передаточной функции аналогового и цифрового фильтра, а также с преобразованием Лапласа и z-преобразованием.
Общая методика расчета БИХ фильтра состоит из:
  • Постановка задачи.
  • Выбор аппроксимации частотной характеристики фильтра, или как еще говорят, типа фильтра. Основными возможными вариантами являются фильтры Баттерворта, Чебышева 1-го или 2-го рода, а также эллиптические фильтры (фильтры Кауэра). Приведенные типы фильтров аппроксимируют амплитудно-частотную характеристику. При аппроксимации фазочастотной характеристики фильтра применяют аппроксимацию по Бесселю.
  • Расчет фильтра нижних частот (ФНЧ) заданного типа с частотой среза 1 рад/с
  • Использование одного из частотных преобразований фильтра: ФНЧ-ФНЧ, ФНЧ-ФВЧ, ФНЧ-ПФ или же ФНЧ-РФ
  • Применение билинейного преобразования для расчета цифрового фильтра с заданными характеристиками

  • Вот пять основных шагов которые мы должны сделать чтобы рассчитать фильтр. Попробуем прокомментировать выше предложенную методику. Первый шаг - постановка задачи. На этом шаге мы должны сформулировать требования к фильтру и задать исходные параметры для расчета. Второй шаг определяет вид частотной характеристики фильтра: максимально гладкая при использовании фильтра Баттерворта, или же с равноволновым колебанием в полосе пропускания или в полосе подавления, или же выбор эллиптического фильтра приведет к равноволновым колебаниям как в полосе пропускания так и в полосе подавления при минимальной переходной полосе.
    После выбора типа фильтра необходимо рассчитать передаточную характеристику ФНЧ с заданными характеристиками неравномерности в полосе пропускания и требуемого подавления в полосе заграждения. После мы осуществим переход от нормированного ФНЧ к фильтру верхних частот (ФВЧ), а также полосовому фильтру (ПФ) и режекторному фильтру (РФ). Рассчет цифрового фильтра можно произвести на основе рассчитанной передаточной характеристики аналогового фильтра при помощи билинейного преобразования.
    Думаю, что достаточно вступления, можем приступать. В данной статье мы рассмотрим основные свойства полиномов комплексной переменной, а также свойства передаточной характеристики аналогового фильтра. Введем понятие нулей и полюсов передаточной характеристики и рассмотрим их свойства.

    Полиномы комплексной переменной и их свойства
    Для начала рассмотрим свойства полинома степени
      (1)
    комплексной переменной . Для этого назовем полином от комплексной переменной четным, если он содержит только четные степени , а также назовем полином нечетным, если он содержит только нечетные степени . Примеры четного и нечетного полиномов:
    (2)
    Тогда, очевидно, что любой полином мы можем представить в виде суммы четного и нечетного полиномов:
    . (3)
    Сделаем несколько замечаний.
    Поскольку полином содержит только четные степени, то . Аналогично содержит только нечетные степени, то .
    Поскольку , то комплексно сопряженное . Кроме этого четный полином при любом всегда чисто вещественный, а нечетный полином при любом всегда чисто мнимый.
    Тогда в выражении (3) - реальная часть, а - мнимая часть полинома :
    (4)
    Рассмотрим теперь полином при . Тогда
    (5)
    Рассмотрим теперь еще одно соотношение:
    (6)
    С учетом (4) выражение (6) можно привести к виду:
    (7)
    Теперь обратимся к корням полинома . Если некоторое значение является корнем полинома и , то является корнем полинома .
    Сформулируем также основные свойства корней . Полином представляет собой полином четной степени и его корни удовлетворяют свойству квадратной симметрии. Это означает следующее:
  • Корни могут быть чисто вещественными, тогда они встречаются парами и .
  • Корни могут быть чисто мнимыми, тогда они встречаются комплексно-сопряженными парами и (всего четыре)
  • Корни могут быть комплексными, тогда они встречаются комплексно-сопряженными парами .
  • Например, пусть полином 5-ой степени равен:
    (8)
    Тогда
    (9)
    Получили полином десятой степени. При этом известно, что количество корней полинома равно степени полинома. Найдем все корни полинома (9).
    (10)
    Корни полинома представлены графически на рисунке 1


    Рисунок 1: Пример квадратной симметрии корней полинома

    Обратите внимание что жирными крестиками обозначены точки в которых два корня на комплексной оси в одной точке. Итак мы получили все корни полинома. Можно заметить, что квадратная симметрия заключается в том, что корни полинома симметричны как относительно реальной оси так и относительно мнимой оси . Кроме того можно заметить, что все корни полинома симметричны относительно нуля. Важно отметить, что в приведенном примере корни полинома расположены на окружности единичного радиуса.
    Сделаем еще одно очень важное замечание. Если имеются все корни полинома степени , то он может быть представлен в виде:
    (11)
    Например, пусть полином равен:
    (12)
    Тогда его корни равны
    (13)
    Подставим корни (13) в выражение (11) и получим исходный полином (12)

    (14)


    Численный рассчет произведения полиномов
    Чтобы закончить рассмотрение полиномов покажем как численными методами можно рассчитывать произведение полиномов. Пусть даны два полинома степени и степени :
    (15)
    Рассмотрим полином равный произведению полиномов и :
    (16)
    Степень полинома равна . При этом коэффициент полинома при степени будет представлять собой сумму произведений коэффициентов и , при которых . Обозначим , тогда и (16) можно переписать:
    (17)
    Обратим внимание, что изменяется от 0 до , что означает что изменяется в пределах от 0 до (что собственно верно так как степени полиномов при перемножении складываются). Тогда выражение (17) можно перенумеровать относительно :
    (18)
    И сравнивая выражение (18) и выражение (16) можно сделать вывод о том что
    (19)
    Другими словами коэффициенты произведения полиномов есть линейная свертка коэффициентов полиномов множителей.
    Рассмотрим пример. Пусть имеется два полинома и . Найдем их произведение:
    (20)
    Теперь найдем линейную свертку коэффициентов полиномов. Коэффициенты полинома равны (коэффициенты записываются слева направо по старшинству, т.е. первый элемент соответствует старшей степени), а коэффициенты полинома : . Произведем линейную свертку, как это показано на рисунке 2. Подробнее про линейную свертку читай здесь.


    Рисунок 2: Вычисление произведения полиномов через линейную свертку

    Как видно из рисунка 2, в результате вычисления линейной свертки получили коэффициенты полинома . Это замечание позволяет нам численно умножать полиномы, а также возводить их в степень.

    Передаточная характеристика аналогового фильтра
    Теперь обратимся к передаточным характеристикам аналоговых фильтров. Передаточная характеристика аналогового фильтра может быть получена при помощи преобразования Лапласа от импульсной характеристики фильтра (или как еще говорят импульсного отклика фильтра):
    (21)
    где - оператор преобразования Лапласа, а - импульсная характеристика фильтра. Обратите внимание на нижний предел интегрирования. Он равен нулю, так как считаем, что импульсная характеристика равна нулю для всех , или другими словами реакция фильтра не может быть раньше воздействия. Это условие физической реализуемости фильтра. Также обратим внимание на то, что при интеграл преобразования Лапласа переходит в интеграл Фурье.
    Аналоговые фильтры задаются передаточной характеристикой в виде дробно-рациональной функции
    (22)
    где и - действительные коэффициенты фильтра, комплексная перемеренная. Передаточная функция полностью определяется своими коэффициентами. Нетрудно заметить что передаточная характеристика представляет собой отношение полиномов. Тогда можно рассмотреть понятия нулей и полюсов передаточной функции фильтра . Нулями передаточной функции называются комплексные числа , при которых числитель передаточной функции (а значит и сама передаточная функция) обращается в ноль. Другими словами нули передаточной функции есть корни полинома числителя. Полюсам передаточной функции называются такие комплексные числа , при которых знаменатель передаточной функции обращается в ноль (сама передаточная функция стремится к бесконечности). Т.е. полюса есть корни знаменателя передаточной функции.
    Передаточная функция фильтра может быть записана через нули и полюса согласно выражению (11):
    (23)
    Таким образом передаточная функция задается своими нулями и полюсами на комплексной плоскости.
    Квадрат модуля передаточной функции по аналогии с выражением (7) может быть представлен в виде:
    (24)
    Тогда выражение (23) можно переписать:
    (25)
    Важное замечание. Для физически реализуемого устойчивого фильтра необходимо чтобы все его полюсы лежали в левой полуплоскости комплексной плоскости . При этом если - передаточная функция устойчивого и физически реализуемого фильтра, т.е. все полюса лежат в левой полуплоскости, то все полюса функции лежат в правой полуплоскости и фильтр с передаточной характеристикой не представляет интереса, так как он неустойчив или физически не реализуем.
    Поскольку нули и полюса обладают квадратной симметрией, то для того, чтобы найти физически реализуемый устойчивый фильтр необходимо рассчитать все нули и полюса (как в правой так и в левой полуплоскостях) и выбрать из них только те, что лежат в левой полуплоскости, они и будут определять передаточную характеристику реализуемого фильтра, остальные же нули и полюса (те что остались в правой полуплоскости) будут определять не реализуемый фильтр с передаточной характеристикой .

    Комплексный коэффициент передачи фильтра. АЧХ, ФЧХ и групповая задержка
    Если имеется передаточная характеристика фильтра , то заменив мы получим комплексный коэффициент передачи фильтра . При этом модуль представляет собой амплитудно-частотную характеристику фильтра (АЧХ)
    (26)
    а аргумент представляет собой фазочастотную характеристику фильтра (ФЧХ):
    (27)
    Здесь и - реальная и мнимая части комплексной передаточной функции.
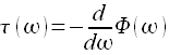
    Можно также ввести понятие групповой задержки как производной ФЧХ:
    (28)
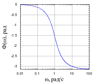
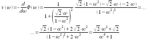
    Рассмотрим пример. Пусть фильтр задан передаточной характеристикой вида:
    (29)
    Рассмотрим его АЧХ, ФЧХ и групповую задержку. Для этого рассмотрим комплексную передаточную функцию:
    (30)
    Найдем реальную и мнимую части комплексной передаточной функции :
    (31)
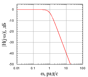
    Тогда АЧХ:
    (32)
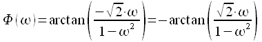
    ФЧХ:
    (33)
    Групповая задержка:
    (34)
    АЧХ, ФЧХ и групповая задержка фильтра с заданной передаточной характеристикой представлена на рисунке 3.
    Для просмотра SVG графики Вам необходимо обновить браузер
    Для просмотра SVG графики Вам необходимо обновить браузер
    Для просмотра SVG графики Вам необходимо обновить браузер
    Рисунок 3: АЧХ, ФЧХ и групповая задержка фильтра

    Как мы увидим позже данная передаточная характеристика соответствует фильтру Баттерворта 2-го порядка.

    Биквадратный фильтр
    Сделаем еще одно замечание. Поскольку нули и полюса обладают квадратной симметрией, то мы всегда будем иметь дело с комплексно-сопряженными парами нулей и полюсов и для фильтра второго порядка получим:
    (35)
    Тогда оба нуля и полюса будут комплексно-сопряженными между собой, т.е.
    (36)
    Тогда подставив (36) в (35) получим:
    (37)
    Данное представление называют биквадратной формой (биквадратный фильтр). Фильтр любого четного порядка может быть представлен при помощи биквадратных форм. Таким образом достаточно рассчитать только половину нулей и полюсов фильтра, а вторая половина будет комплексно-сопряженной.

    Выводы
    Таким образом мы рассмотрели основные свойства полиномов комплексной переменной, а также свойства передаточной характеристики аналогового фильтра. Мы сформулировали свойства корней полиномов комплексной переменной, ввели понятие передаточной характеристики фильтра, а также нулей и полюсов передаточной функции фильтра. Введены понятия амплитудно-частотной, фазочастотной характеристики, а также групповой задержки фильтра. Особое внимание было уделено численному произведению полиномов.

    Любые вопросы и пожелания вы можете оставить в гостевой книге, на форуме, или прислать по электронной почте admin@sovrednb.ru


    Система Orphus
    Любое копирование материалов сайта без разрешения автора запрещено.
    Разработка и дизайн Бахурин Сергей.