Пример расчета цифрового фильтра нижних частот Баттерворта

Содержание

Исходные данные для расчета фильтра
В данной статье мы произведем расчет коэффициентов цифрового БИХ фильтра Баттерворта по заданному коридору АЧХ. Пусть требуется произвести расчет цифрового ФНЧ Баттерворта, удовлетворяющего следующему коридору АЧХ:
Нормированная частота среза .
Нормированная частота заграждения .
Неравномерность в полосе пропускания .
Уровень подавления в полосе заграждения .

Графически заданный коридор АЧХ показан на рисунке 1.


Рисунок 1: Исходные данные для расчета цифрового ФНЧ

Необходимо сделать замечания.
Замечание 1. Поскольку фильтр цифровой, то его АЧХ является периодической с периодом и симметрична относительно нормированной частоты , о чем мы уже говорили ранее, поэтому исходные данные задаются относительно нормированной частоты в интервале от 0 до рад/с.
Замечание 2. Многие программные пакеты (в том числе библиотека dsp.dll) задают параметры фильтра относительно нормированной частоты в интервале от 0 до 1, что необходимо учитывать при задании граничных частот фильтра.
Замечание 3. Существует несколько способов задания исходных данных. В данном примере мы задаем коридор АЧХ, порядок фильтра выбирается таким, чтобы обеспечить АЧХ фильтра внутри коридора. Также можно задать порядок фильтра и частоту среза, а частота заграждения получается в зависимости от порядка фильтра.
Шаги которые необходимо осуществить для расчета фильтра.
1. Произвести пересчет параметров коридора АЧХ цифрового фильтра в параметры коридора АЧХ аналогового фильтра;
2. Рассчитать порядок фильтра исходя из параметров коридора АЧХ аналогового фильтра (если порядок задан, то данный пункт пропускаем);
3. Расчет передаточной характеристики аналогового нормированного ФНЧ требуемого порядка;
4. Частотное преобразование в передаточную характеристику аналогового фильтра, согласно коридору АЧХ.
5. Билинейное преобразование передаточной характеристики аналогового фильтра в передаточную характеристику цифрового фильтра.
Итак произведем расчет цифрового фильтра согласно заданного коридора АЧХ.

Пересчет параметров коридора АЧХ цифрового фильтра в параметры коридора АЧХ аналогового фильтра
Поскольку переход от аналогового фильтра к цифровому осуществляется через билинейное преобразование, которое искажает шкалу частот, то на первом шаге необходимо учесть это искажение для того чтобы сформулировать требования к коридору АЧХ аналогового фильтра таким образом, чтобы на пятом шаге при билинейном преобразовании получить именно тот фильтр что нам нужен. Искажение шкалы частот при билинейном преобразовании происходит согласно выражению:
(1)
где – интервал дискретизации, – шкала частот аналогового фильтра, – нормированная шкала частот цифрового фильтра. Период АЧХ цифрового фильтра по нормированной шкале частот равный соответствует интервалу дискретизации . Тогда произведем пересчет исходных данных для задания коридора АЧХ аналогового фильтра.
Частота среза аналогового фильтра:
. (2)
Частота заграждения аналогового фильтра:
(3)
Неравномерность в полосе пропускания и уровень подавления в полосе заграждения при билинейном преобразовании не меняются.

Расчет порядка фильтра удовлетворяющего исходным данным
На втором шаге необходимо рассчитать порядок аналогового фильтра (он же порядок цифрового, поскольку билинейное преобразование не меняет порядка фильтра) по заданному коридору АЧХ аналогового фильтра: , , , . Порядок ФНЧ Баттерворта равен (выражение для порядка фильтра Баттерворта было получено здесь):
(4)
где – натуральный логарифм (в русскоязычной литературе обозначается как ), а
(5)
тогда получим порядок фильтра
(6)
Округляем порядок фильтра до большего целого и получаем требуемый порядок фильтра .

Расчет передаточной характеристики аналогового нормированного ФНЧ требуемого порядка
На данном шаге мы рассчитаем передаточную характеристику аналогового нормированного ФНЧ Баттерворта требуемого порядка . Передаточная характеристика нормированного ФНЧ Баттерворта имеет вид (подробно рассмотрена здесь):
(7)
В нашем случае , значит и , ,
Тогда подставив эти данные в выражение (7) получим:
(8)
Передаточная характеристика нормированного ФНЧ Баттервотра рассчитана, переходим к следующему шагу.

Частотное преобразование передаточной характеристики аналогового нормированного ФНЧ
Мы рассчитали нормированный ФНЧ Баттерворта 3-го порядка с частотой среза 1 рад/c, в то время как нам нужна передаточная характеристика аналогового ФНЧ с частотой среза . Для получения с заданной частотой среза из передаточной характеристики ФНЧ с частотой среза 1 рад/с необходимо произвести преобразование ФНЧ-ФНЧ согласно подстановки получим:
(9)

Расчет передаточной характеристики цифрового фильтра. Билинейное преобразование
Нам остался последний шаг – билинейное преобразование передаточной характеристики (9) аналогового фильтра в искомую передаточную характеристику цифрового фильтра.
Билинейное преобразование осуществляется подстановкой
(10)
Ранее мы брали , тогда передаточная характеристика равна:
(11)
Раскрыв скобки, приведя подобные и отнормировав к свободному члену знаменателя (коэффициенту при нулевой степени ), получим следующую передаточную характеристику:
(12)
Таким образом, коэффициенты фильтра приведены в таблице:


Расчет цифрового ФНЧ Баттерворта по заданному коридору АЧХ закончен. Нам осталось лишь проверить, что полученная передаточная характеристика удовлетворяет заданному коридору. Для этого построим квадрат АЧХ полученного фильтра (рисунок 2), подставив в (12) .


Для просмотра SVG графики Вам необходимо обновить браузер
Рисунок 2: Квадрат АЧХ рассчитанного фильтра

Для просмотра SVG графики Вам необходимо обновить браузер
Рисунок 3: ФЧХ рассчитанного фильтра

На рисунке 2 серым выделен коридор АЧХ соответствующий исходными данным. Отчетливо видно, что полученный ФНЧ Баттерворта полностью укладывается в заданный коридор АЧХ. На рисунке 3 показана ФЧХ рассчитанного фильтра.
Разностное уравнение полученного фильтра имеет вид:
(13)
где – цифровой сигнал на входе фильтра, – отфильтрованный цифровой сигнал на выходе фильтра. С учетом того, что мы отнормировали коэффициенты передаточной характеристики к коэффициенту , мы получили . Кроме того, все и равны нулю при , тогда уравнение (13) можно переписать:
(14)
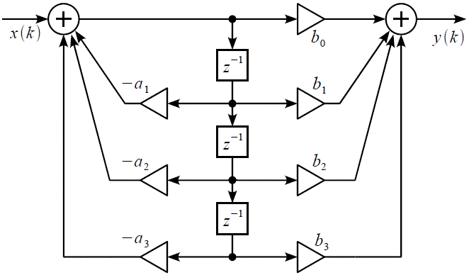
Структурная схема данного фильтра в канонической форме показана на рисунке 4.


Рисунок 4: Структурная схема фильтра в канонической форме


Расчет цифровых ФНЧ других типов
При расчете цифровых ФНЧ других типов необходимо учитывать несколько обстоятельств. Во первых, при расчете порядка фильтра необходимо вместо выражения (4) порядка фильтра Баттерворта использовать выражение соответствующее заданному типу фильтра (подробно типы фильтров и их порядки рассмотрены здесь здесь ). Кроме того, при расчете передаточной характеристики необходимо вместо выражения (7) использовать выражения для передаточной характеристики соответствующее заданному типу фильтра ( Чебышева первого рода, Чебышева второго рода или эллиптическому).
Во всем остальном расчет цифрового ФНЧ для фильтров других типов не отличается от приведенного примера.

Выводы
В данной статье приведен пример расчета передаточной характеристики цифрового ФНЧ Баттерворта по заданному коридору АЧХ. Получена передаточная характеристика фильтра, построены его АЧХ и ФЧХ, приведено разностное уравнение и структурная схема фильтра в канонической форме.

Любые вопросы и пожелания вы можете оставить в гостевой книге, на форуме, или прислать по электронной почте admin@sovrednb.ru


Система Orphus
Любое копирование материалов сайта без разрешения автора запрещено.
Разработка и дизайн Бахурин Сергей.